Année universitaire 2003-2004

DEUG MIAS
Module Info 2
Travaux dirigés


Séance 1:

  • Base 2.
  • Droits dáccés.
  • Arboresence.

  • TD 1 : Numérations - Arborescences

    1. Ecrire les 12 premières puissances de 2 . Quelle est la puissance de 2 voisine de 1000?
    Ecrire en base 2 le nombre (décimal) 339. Utiliser son écriture en base 2 pour l'écrire en base 8 et en base 16. Expliquer l'algorithme de conversion. Procéder de même pour 474 puis 151.
    2. Convertir en base 2 sans passer par la base 10 le nombre hexadécimal 3C0A. Le convertir en base 10.
    3. Donner un critère pour qu'un nombre binaire soit divisible par 8, par 16.
    4. Faire les additions des nombres binaires suivants:
    100101 + 11001,  111111 + 1,   100101 + 100101
    Pouvait-on prévoir les deux derniers résultats?
    5. On désire se donner à la création d'un répertoire tous les droits (lecture, écriture, exécution), donner au groupe seulement les droits de lecture, et aux autres seulement les droits d'exécution. Quelle commande doit-on taper?
    Quels sont les droits d'accès à la création d'un répertoire si la valeur du umask est 517? à la création d'un fichier?
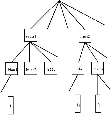
    6. On considère l'arborescence de fichiers suivante:

    Quelles sont les adresses absolues des fichiers f1, f2, f3?
    Quelle est l'adresse relative de f3 par rapport à users2? par rapport à users1?
    Ecrire une instruction pour copier à partir de users1 le fichier f1 dans info
    - en utilisant les adresses absolues
    - en utilisant les adresses relatives à users1.


    Commentaires pascal.lafourcade@lsv.ens-cachan.fr